Análisis de micotoxinas aminopolihidroxiladas
llistat de metadades
Director
Canela i Garayoa, Ramon
Date of defense
1996-07-23
ISBN
8489727783
Legal Deposit
S.54-1998
Department/Institute
Universitat de Lleida. Departament de Química
Abstract
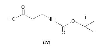
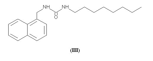
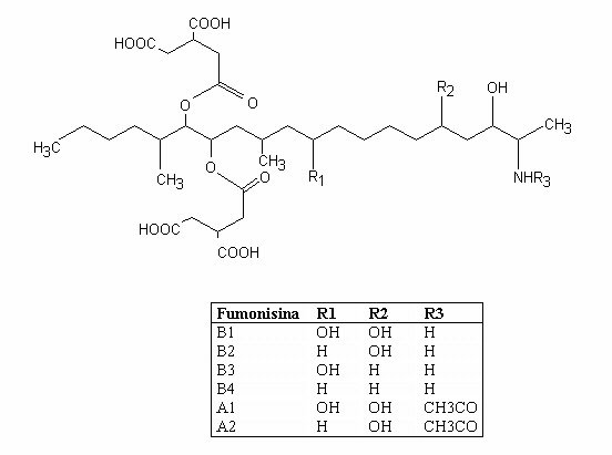
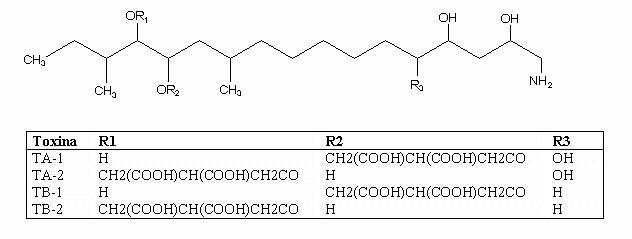
En el present treball de tesi s'han abordat diversos aspectes que fan referència a l'anàlisi d'unes micotoxines aminopolihidroxilades, les fumonisines. L'estudi portat es poden resumir en el contingut dels cinc punts següents.<br/>1. Obtenció de fumonisines a partir d'extractes de conreus de Fusarium proliferatum. Amb això es cerca obtenir fumonisines per a ser emprades com patrons i incorporar millores en els mètodes d'extracció i purificació ja proposat per altres autors. Les modificacions que s'assagen consisteixen a utilitzar sistemes cromatogràficos amb major resolució com l'ocupació de cromatografia "flash", amb la que es va poder assolir una millor separació dels productes desitjats en un menor nombre de fraccions. Així mateix l'addició d'àcids als sistemes eluyents presenta efectes positius pel que fa a les separacions mitjançant fase inversa (C18). Finalment l'ocupació de la cromatografía "dry-flash", va permetre la purificació final i selectiva de les fraccions amb les toxines per separat. Les modificacions introduïdes permeten disminuir el temps de procés i el volum dels dissolvents consumits, encara que no s'ha aconseguit obtenir toxines d'adequat grau de puresa.<br/>2. Estudis dels sistemes de purificació de les mostres de blat de moro. Si bé existeixen mètodes ja proposats, la idea d'aquest treball es fonamenta en l'obtenció de sistemes que donin resultats amb alta reproductibilitat, a més de resultar menys enutjosos que els de referència. El mètode assajat permet, a partir de tan sols 1 g de blat de moro, obtenir els mateixos resultats que uns altres descrits en la literatura. Els majors avantatges de la metodologia proposada es fonamenten que tant les extraccions com les purificacions es realitzen gairebé al mateix temps, fet que escurça la durada del processament de les mostres i disminueix el volum de dissolvents que es necessita en l'anàlisi.<br/>3. Estudi de l'ocupació de AccQ.Fluor per a l'anàlisi de la mostres de blat de moro. La comercialització del reactivo AccQ.Fluor, emprat per a l'anàlisi d'aminoàcids per HPLC, obre la possibilitat de trobar un reactivo alternatiu als mètodes emprats comunament en les anàlisis de les fumonisines. Així es proven les condicions de reacció en una primera etapa d'acord a la metodologia suggerida per a l'anàlisi d'aminoàcids. Posteriorment es realitzen certes modificacions d'acord a les millors condicions per a l'anàlisi de les toxines objecte de l'estudi. Finalment els resultats obtinguts es comparen amb el reactiu OPA, mètode emprat com referència, no trobant-se diferències significatives entre els valors. Igualment, mitjançant la realització de proves d'estabilitat es comprova que les respostes es mantenen estables fins 48 h després d'obtinguts els derivats.<br/>4. Síntesi de aril derivats. En vista als resultats aconseguits amb el reactivo AccQ.Fluor es preparen derivats amb estructura semblant. Partint de la base que el grup carbamat activat, constituent del reactivo AccQ.Fluor, és el punt d'ancoratge de les fumonisines, se cerca preparar altres carbamats, amb la idea d'obtenir compostos que presentin característiques fluorescents. Dos dels compostos preparats van permetre l'obtenció de les seves urees asimètriques corresponents.<br/>5. Aplicació dels reactius obtinguts a l'anàlisi de amines. En vista als derivats obtinguts en l'apartat anterior es van assajar els distints factors que podien influir en les condicions de reacció així com en les d'anàlisi per cromatografia HPLC de la octilamina, per a la seva posterior aplicació a l'anàlisi de les fumonisines
En el presente trabajo de tesis se han abordado diversos aspectos que hacen referencia al análisis de unas micotoxinas aminopolihidroxiladas, las fumonisinas. El estudio llevado a cabo se pueden resumir en el contenido de los cinco puntos siguientes.<br/>1. Obtención de fumonisinas a partir de extractos de cultivos de Fusarium proliferatum. Se busca con esto obtener fumonisinas para ser empleadas como patrones e incorporar mejoras en los métodos de extracción y purificación ya propuesto por otros autores. Las modificaciones que se ensayan consisten en utilizar sistemas cromatográficos con mayor resolución como el empleo de cromatografía "flash", con la que se pudo lograr una mejor separación de los productos deseados en un menor número de fracciones. Así mismo la adición de ácidos a los sistemas eluyentes presenta efectos positivos en lo que respecta a las separaciones mediante fase inversa (C18). Finalmente el empleo de la cromatografía "dry-flash", permitió la purificación final y selectiva de las fracciones con las toxinas por separado. Las modificaciones introducidas permiten disminuir el tiempo de proceso y el volumen de los disolventes consumidos, aunque no se ha conseguido obtener toxinas de adecuado grado de pureza.<br/>2. Estudios de los sistemas de purificación de las muestras de maíz. Si bien existen métodos ya propuestos, la idea de éste trabajo se basa en la obtención de sistemas que den resultados con alta reproducibilidad, además de resultar menos engorrosos que los de referencia. El método ensayado permite, a partir de tan sólo 1 g de maíz, obtener los mismos resultados que otros descritos en la literatura. Las mayores ventajas de la metodología propuesta se basan en que tanto las extracciones como las purificaciones se realizan casi al mismo tiempo, hecho que acorta la duración del procesamiento de las muestras y disminuye el volumen de disolventes que se necesita en el análisis.<br/>3. Estudio del empleo de AccQ.Fluor para el análisis de la muestras de maíz. La comercialización del reactivo AccQ.Fluor, empleado para el análisis de aminoácidos por HPLC, abre la posibilidad de encontrar un reactivo alternativo a los métodos empleados comúnmente en los análisis de las fumonisinas. Así se prueban las condiciones de reacción en una primera etapa de acuerdo a la metodología sugerida para el análisis de aminoácidos. Posteriormente se realizan ciertas modificaciones de acuerdo a las mejores condiciones para el análisis de las toxinas objeto del estudio. Finalmente los resultados obtenidos se comparan con el reactivo OPA, método empleado como referencia, no encontrándose diferencias significativas entre los valores. Igualmente, mediante la realización de pruebas de estabilidad se comprueba que las respuestas se mantienen estables hasta 48 h después de obtenidos los derivados.<br/>4. Síntesis de aril derivados. En vista a los resultados conseguidos con el reactivo AccQ.Fluor se preparan derivados con estructura parecida. Partiendo de la base que el grupo carbamato activado, constituyente del reactivo AccQ.Fluor, es el punto de anclaje de las fumonisinas, se busca preparar otros carbamatos, con la idea de obtener compuestos que presenten características fluorescentes. Dos de los compuestos preparados permitieron la obtención de sus ureas asimétricas correspondientes.<br/>5. Aplicación de los reactivos obtenidos al análisis de aminas. En vista a los derivados obtenidos en el apartado anterior se ensayaron los distintos factores que podían influir en las condiciones de reacción así como en las de análisis por cromatografía HPLC de la octilamina, para su posterior aplicación al análisis de las fumonisinas
Keywords
Subjects
579 - Microbiology
Knowledge Area
Recommended citation
Documents
Llistat documents
Rights
ADVERTIMENT. L'accés als continguts d'aquesta tesi doctoral i la seva utilització ha de respectar els drets de la persona autora. Pot ser utilitzada per a consulta o estudi personal, així com en activitats o materials d'investigació i docència en els termes establerts a l'art. 32 del Text Refós de la Llei de Propietat Intel·lectual (RDL 1/1996). Per altres utilitzacions es requereix l'autorització prèvia i expressa de la persona autora. En qualsevol cas, en la utilització dels seus continguts caldrà indicar de forma clara el nom i cognoms de la persona autora i el títol de la tesi doctoral. No s'autoritza la seva reproducció o altres formes d'explotació efectuades amb finalitats de lucre ni la seva comunicació pública des d'un lloc aliè al servei TDX. Tampoc s'autoritza la presentació del seu contingut en una finestra o marc aliè a TDX (framing). Aquesta reserva de drets afecta tant als continguts de la tesi com als seus resums i índexs.


