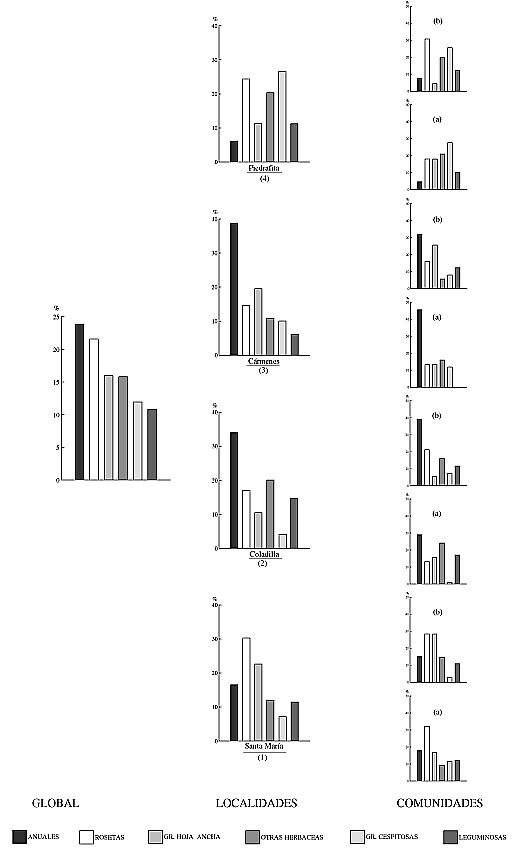
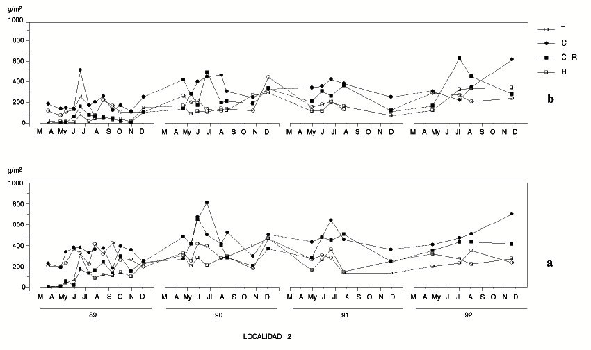
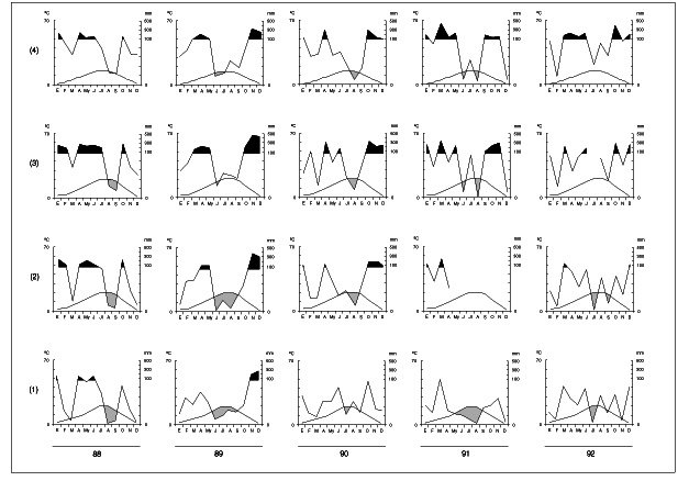
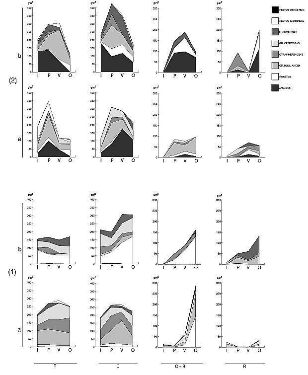
Dinámica sucesional tras el abandono y recuperación del matorral mediante pastoreo controlado. Experiencia en un sector de la montaña de León
llistat de metadades
Author
Director
Gómez Sal, Antonio
Tutor
Fanlo Domínguez, Rosario
Date of defense
1994-04-21
ISBN
8489727783
Legal Deposit
S.54-1998
Department/Institute
Universitat de Lleida. Departament de Producció Vegetal i Ciència Forestal
Abstract
Les característiques orogràfiques i climàtiques del territori espanyol exigeixen que la utilització del sòl en gran part del mateix, degui portar-se a terme amb un criteri de conservació dels recursos. La seva òptima gestió s'aconsegueix en molts casos amb la intervenció de sistemes ramaders extensius fonamentats en explotacions de baix cost. No per això resulta fàcil el seu maneig, a l'interaccionar múltiples factors que impliquen un elevat nivell de coneixements. <br/>En els sistemes ramaders extensius, el pastizal herbaci és el recurs que juga un paper més destacat com abastidor d'aliment durant llargues èpoques de l'any, tant per als ungulados domèstics com per als silvestres; aquests últims, també obtenen del pastizal l'aliment amb el que cobreixen la major part de les seves necessitats durant l'any, si les condicions climàtiques, sobretot la neu, el permeten.
Las características orográficas y climáticas del territorio español exigen que la utilización del suelo en gran parte del mismo, deba llevarse a cabo con un criterio de conservación de los recursos. Su óptima gestión se consigue en muchos casos con la intervención de sistemas ganaderos extensivos basados en explotaciones de bajo coste. No por ello resulta fácil su manejo, al interaccionar múltiples factores que implican un elevado nivel de conocimientos.<br/>En los sistemas ganaderos extensivos, el pastizal herbáceo es el recurso que juega un papel más destacado como abastecedor de alimento durante largas épocas del año, tanto para los ungulados domésticos como para los silvestres; estos últimos, también obtienen del pastizal el alimento con el que cubren la mayor parte de sus necesidades durante el año, si las condiciones climáticas, sobre todo la nieve, lo permiten.
Keywords
Subjects
63 – Agriculture. Forestry. Zootechnics. Hunting. Fishing
Knowledge Area
Recommended citation
Documents
Llistat documents
Rights
ADVERTIMENT. L'accés als continguts d'aquesta tesi doctoral i la seva utilització ha de respectar els drets de la persona autora. Pot ser utilitzada per a consulta o estudi personal, així com en activitats o materials d'investigació i docència en els termes establerts a l'art. 32 del Text Refós de la Llei de Propietat Intel·lectual (RDL 1/1996). Per altres utilitzacions es requereix l'autorització prèvia i expressa de la persona autora. En qualsevol cas, en la utilització dels seus continguts caldrà indicar de forma clara el nom i cognoms de la persona autora i el títol de la tesi doctoral. No s'autoritza la seva reproducció o altres formes d'explotació efectuades amb finalitats de lucre ni la seva comunicació pública des d'un lloc aliè al servei TDX. Tampoc s'autoritza la presentació del seu contingut en una finestra o marc aliè a TDX (framing). Aquesta reserva de drets afecta tant als continguts de la tesi com als seus resums i índexs.


