Models i índexs de concentració. Aplicació al volum empresarial de Lleida
llistat de metadades
Author
Director
Baró Llinàs, Joan
Date of defense
1993-10-22
ISBN
8489727783
Legal Deposit
S.54-1998
Department/Institute
Universitat de Lleida. Departament de Dret Públic
Abstract
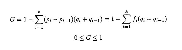
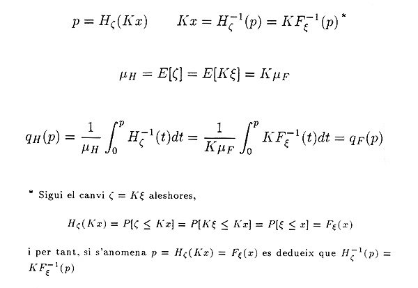
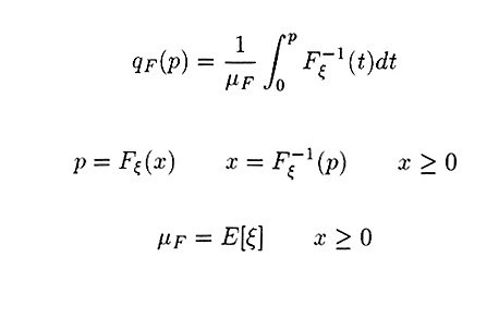
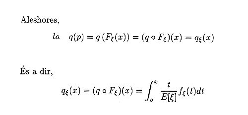
Actualment un dels temes més debatuts per l'opinió pública és la desigualtat existent en els diferents àmbits de la societat i, per tant, aquest tema esdevé un objectiu de les formacions polítiques les quals concedeixen molta importància a l'impacte de les mesures específiques en matèria de distribució.<br/>Com a conseqüència, en l'esfera econòmica assistim a la proliferació d'estudis empírics i a l'ús de mesures capaces de quantificar el grau de desigualtat que pot presentar la distribució de la riquesa, renda o consum.<br/>Dos són els criteris a l'hora de mesurar la desigualtat:<br/>a.- L'enfocament tradicional, pretén únicament estudiar la desigualtat sense entrar en qüestions de tipus ètic. Són mesures estadístiques positives que es poden aplicar a qualsevol distribució sense disposar d'informació addicional. Les més freqüents i utilitzades són: GINI, ÍNDEX DE THEIL i COEFICIENT DE VARIACIÓ.<br/>b.- L'enfocament modern, iniciat per Atkinson (1970) va mostrar que en les diverses mesures de desigualtat estan immersos criteris ètics i per tant, s'han d'evitar incompatibilitats entre els criteris ètics de les mesures i els criteris ètics de les Funcions de Benestar Social. Es creen les anomenades mesures normatives de desigualtat. Per construcció els índexs normatius no seran apropiats per mesurar la desigualtat en la distribució de magnituds econòmiques diferents de la renda.
Actualmente uno de los temas más debatidos por la opinión pública es la desigualdad existente en los diferentes ámbitos de la sociedad y, por lo tanto, este tema acontece uno objetivo de las formaciones políticas las cuales conceden mucha importancia al impacto de las medidas específicas en materia de distribución.<br/>Como consecuencia, en la esfera económica asistamos a la proliferación de estudios empíricos y al uso de medidas capaces de cuantificar el grado de desigualdad que puede presentar la distribución de la riqueza, renta o consumo.<br/>Dos son los criterios a la hora de mesurar la desigualdad:<br/>a.- El enfoque tradicional, pretende únicamente estudiar la desigualdad sin entrar en cuestiones de tipo ético. Son medidas estadísticas positivas que se pueden aplicar a cualquiera distribución sin disponer de información adicional. Las más frecuentes y utilizadas son: GINI, ÍNDICE DE THEIL y COEFICIENTE DE VARIACIÓN.<br/>b.- El enfoque moderno, iniciado por Atkinson (1970) mostró que en las diversas medidas de desigualdad están inmersos criterios éticos y por lo tanto, se tienen que evitar incompatibilidades entre los criterios éticos de las medidas y los criterios éticos de las Funciones de Bienestar Social. Se crean las nominadas mesuras normativas de desigualdad. Por construcción los índices normativos no serán apropiados por mesurar la desigualdad en la distribución de magnitudes económicas diferentes de la renta.
Keywords
Subjects
338 - Economic situation. Economic policy. Management of the economy. Economic planning. Production. Services. Tourism. Prices
Knowledge Area
Recommended citation
Documents
Llistat documents
Rights
ADVERTIMENT. L'accés als continguts d'aquesta tesi doctoral i la seva utilització ha de respectar els drets de la persona autora. Pot ser utilitzada per a consulta o estudi personal, així com en activitats o materials d'investigació i docència en els termes establerts a l'art. 32 del Text Refós de la Llei de Propietat Intel·lectual (RDL 1/1996). Per altres utilitzacions es requereix l'autorització prèvia i expressa de la persona autora. En qualsevol cas, en la utilització dels seus continguts caldrà indicar de forma clara el nom i cognoms de la persona autora i el títol de la tesi doctoral. No s'autoritza la seva reproducció o altres formes d'explotació efectuades amb finalitats de lucre ni la seva comunicació pública des d'un lloc aliè al servei TDX. Tampoc s'autoritza la presentació del seu contingut en una finestra o marc aliè a TDX (framing). Aquesta reserva de drets afecta tant als continguts de la tesi com als seus resums i índexs.
This item appears in the following Collection(s)
Departament de Dret [63]


